Obtenha diferenças e razões simples para funções especiais
Obtenha diferenças e razões simples para Beta e GammaRegularized.
| In[1]:= | X |
| Out[1]= |
| In[2]:= | X |
| Out[2]= |
| In[3]:= | X |
| Out[3]= |
| In[4]:= | X |
| Out[4]= |
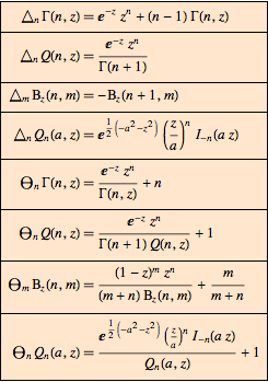
Crie uma galeria de diferenças e razões elegantes.
| Out[5]//TraditionalForm= | |
![]() | |

