特殊関数の単純な差分と比率を得る
BetaとGammaRegularizedに対する単純な差分と比率を得る.
| In[1]:= | X |
| Out[1]= |
| In[2]:= | X |
| Out[2]= |
| In[3]:= | X |
| Out[3]= |
| In[4]:= | X |
| Out[4]= |
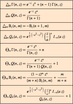
差分と比率を見やすくまとめる.
| Out[5]//TraditionalForm= | |
![]() | |
BetaとGammaRegularizedに対する単純な差分と比率を得る.
| In[1]:= | X |
| Out[1]= |
| In[2]:= | X |
| Out[2]= |
| In[3]:= | X |
| Out[3]= |
| In[4]:= | X |
| Out[4]= |
差分と比率を見やすくまとめる.
| Out[5]//TraditionalForm= | |
![]() | |
Questions? Comments? Contact a Wolfram expert »