Galerien besonderer Summen und Integrale erstellen
Erstellen Sie eine Galerie multivariater Summen.
| Out[1]//TraditionalForm= | |
![]() | |
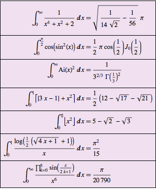
Erstellen Sie eine Galerie bestimmter Integrale.
| Out[2]//TraditionalForm= | |
![]() | |
Erstellen Sie eine Galerie multivariater Summen.
| Out[1]//TraditionalForm= | |
![]() | |
Erstellen Sie eine Galerie bestimmter Integrale.
| Out[2]//TraditionalForm= | |
![]() | |
Questions? Comments? Contact a Wolfram expert »