Crie galerias de somas e integrais especiais
Crie uma galeria de somas multivariadas.
| Out[1]//TraditionalForm= | |
|  | |
Crie uma galeria de integrais definidas.
| Out[2]//TraditionalForm= | |
|  | |
Crie uma galeria de somas multivariadas.
| Out[1]//TraditionalForm= | |
|  | |
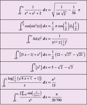
Crie uma galeria de integrais definidas.
| Out[2]//TraditionalForm= | |
|  | |
Questions? Comments? Contact a Wolfram expert »