Cree galerías de sumas e integrales especiales
Cree una galería de sumas multivariantes.
| Out[1]//TraditionalForm= | |
![]() | |
Cree una galería de integrales definidas.
| Out[2]//TraditionalForm= | |
![]() | |
Cree una galería de sumas multivariantes.
| Out[1]//TraditionalForm= | |
![]() | |
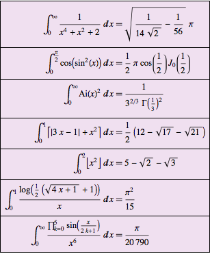
Cree una galería de integrales definidas.
| Out[2]//TraditionalForm= | |
![]() | |
Questions? Comments? Contact a Wolfram expert »