特殊な和や積分の表を生成する 

多変量の和の表を生成する.

完全なWolfram言語入力を表示する
Out[1]//TraditionalForm=

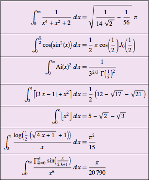
定積分の表を生成する.

完全なWolfram言語入力を表示する
Out[2]//TraditionalForm=
de en es pt-br zh