创建特殊求和与积分的列表 

创建多变量求和的列表.

显示完整的 Wolfram 语言输入
Out[1]//TraditionalForm=

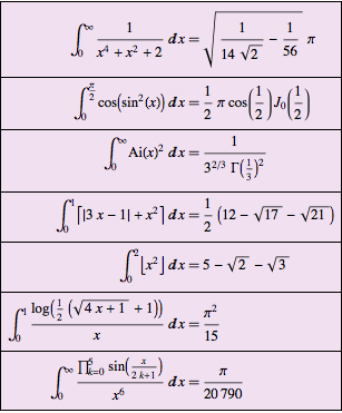
创建定积分的列表.

显示完整的 Wolfram 语言输入
Out[2]//TraditionalForm=
de en es ja pt-br