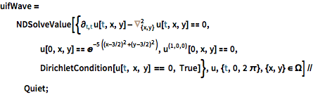
二次元の波動方程式を解く 

任意の形状の領域上で波動方程式を解く.

In[1]:=
Click for copyable input
X
In[2]:=
Click for copyable input
X
完全なWolfram言語入力を表示する
Out[4]=
Click to play animation
de en es pt-br zh