Linealización de retroacción
La linealización de retroacción es un proceso de linealización que calcula el estado y las transformaciones de retroacción para linealizar un sistema no lineal y permite el diseño de controladores no lineales uasando técnicas lineales. Compare diseños de controladores basados en linealizaciones exactas y aproximadas para un sistema de levitación magnética.
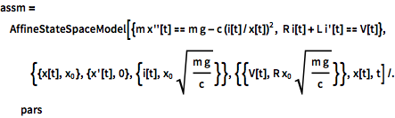
El modelo afín puede ser obtenido directamente desde ecuaciones gobernantes.
| Out[2]= |  |
Es completamente una linealización de retroacción, dado que no hay dinámicas residuales.
| Out[4]= |  |
Calcule las ganancias estabilizadas de retroacción usando el sistema linealizado exacto.
| Out[5]= |  |
Simule el sistema de circuito cerrado para las condiciones iniciales dadas.
| Out[7]= |  |
Calcule las ganancias estabilizadas de retroacción usando el sistema linealizado aproximado.
| Out[8]= |  |
El diseño basado en linealización exacta tiene una mejor respuesta.
| Out[10]= |  |
El controlador no lineal usado en el diseño de linealización exacta.
| Out[11]= |  |
El esfuerzo de control gastado.
| Out[13]= |  |
El esfuerzo gastado para el caso exacto es mucho menor que el del aproximado.
| Out[15]= |  |
Una animación de un balón siendo levitado usando un controlador no lineal.
muestre la entrada completa de Wolfram Languageoculte la entrada