Feedback Linearization
Feedback linearization is an exact linearization process that computes state and feedback transformations to linearize a nonlinear system and allows for the design of nonlinear controllers using linear techniques. Compare controller designs based on exact and approximate linearizations for a magnetically levitated system.
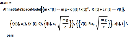
The affine model can be obtained directly from the governing equations.
| Out[2]= |  |
It is completely feedback linearizable, since there are no residual dynamics.
| Out[4]= |  |
Compute the stabilizing feedback gains using the exactly linearized system.
| Out[5]= |  |
Simulate the closed-loop system for given initial conditions.
| Out[7]= |  |
Compute stabilizing feedback gains using the approximately linearized system.
| Out[8]= |  |
The design based on exact linearization has a better response.
| Out[10]= |  |
The nonlinear controller used in the exact linearization design.
| Out[11]= |  |
The control effort expended.
| Out[13]= |  |
The effort expended for the exact case is much lower than that of the approximate.
| Out[15]= |  |
An animation of the ball being levitated using the nonlinear controller.
show complete Wolfram Language inputhide input