Den Lösungsprozess steuern
Extrahieren Sie interne Details oder unterbrechen und steuern Sie viele Aspekte des Lösungsprozesses.
Verwenden Sie das Finite-Elemente-Paket.
| In[1]:= | X |
Definieren Sie eine Region und erzeugen Sie ein Gitternetz mit minimaler Bandbreite.
| In[2]:= | ![]() X |
| Out[2]= |
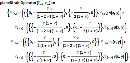
Definieren Sie einen Dehnungsoperator.
| In[3]:= | ![]() X |
Stellen Sie die Gleichungen auf.
| In[4]:= | ![]() X |
| Out[4]= |
Untersuchen Sie die Daten der finiten Elemente.
| In[5]:= | X |
| Out[5]= |
Extrahieren Sie die Verfahrensdaten.
| In[6]:= | X |
| Out[6]= |
Extrahieren Sie die Daten der PDG-Koeffizienten.
| In[7]:= | X |
| Out[7]= |
Extrahieren Sie die Lösungsdaten.
| In[8]:= | X |
Diskretisieren Sie die PDG.
| In[9]:= | X |
| Out[9]= |
Extrahieren und visualisieren Sie die Steifigkeitsmatrix.
| In[10]:= | X |
| Out[10]= | ![]() |



