Controle el proceso de solución
Extraiga detalles internos o intercepte y controle muchos aspectos del proceso de solución.
Cargue el paquete de elemento finito.
| In[1]:= | X |
Especifique una región y cree una malla con banda ancha mínima.
| In[2]:= | ![]() X |
| Out[2]= |
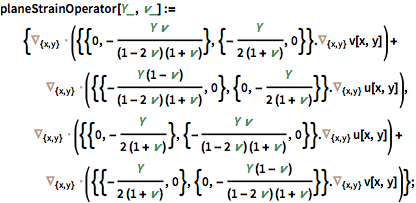
Especifique un operador de tensión de plano.
| In[3]:= | ![]() X |
Establezca las ecuaciones.
| In[4]:= | ![]() X |
| Out[4]= |
Inspeccione los datos de elementos finitos.
| In[5]:= | X |
| Out[5]= |
Extraiga los datos de método.
| In[6]:= | X |
| Out[6]= |
Extraiga los datos de coeficiente de PDE.
| In[7]:= | X |
| Out[7]= |
Extraiga los datos de solución.
| In[8]:= | X |
Discretice el PDE.
| In[9]:= | X |
| Out[9]= |
Extraiga y visualice la matriz de rigidez.
| In[10]:= | X |
| Out[10]= | ![]() |



