Controle o processo de resolução
Extraia detalhes internos ou intercepte e controle muitos aspectos do processo de resolução.
Carregue o pacote de elementos finitos.
| In[1]:= | X |
Especifique uma região e crie uma malha com largura de banda mínima.
| In[2]:= | ![]() X |
| Out[2]= |
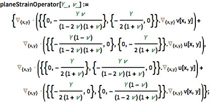
Especifique um operador de deformação plana.
| In[3]:= | ![]() X |
Configure as equações.
| In[4]:= | ![]() X |
| Out[4]= |
Inspecione os dados de elementos finitos.
| In[5]:= | X |
| Out[5]= |
Extraia os dados do método.
| In[6]:= | X |
| Out[6]= |
Extraia os dados de coeficiente da EDP.
| In[7]:= | X |
| Out[7]= |
Extraia os dados da resolução.
| In[8]:= | X |
Discretize a EDP.
| In[9]:= | X |
| Out[9]= |
Extraia e visualize a matriz de rigidez.
| In[10]:= | X |
| Out[10]= | ![]() |



