解の過程を制御する
解の過程の内部の詳細を抽出するか,多くの側面を防御し制御する.
有限要素法パッケージをロードする.
| In[1]:= | X |
領域を指定し,最小のバンド幅でメッシュを生成する.
| In[2]:= | ![]() X |
| Out[2]= |
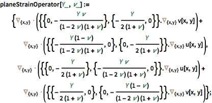
平面ひずみ演算子を指定する.
| In[3]:= | ![]() X |
方程式を設定する.
| In[4]:= | ![]() X |
| Out[4]= |
有限要素データを調べる.
| In[5]:= | X |
| Out[5]= |
メソッドデータを抽出する.
| In[6]:= | X |
| Out[6]= |
偏微分方程式の係数データを抽出する.
| In[7]:= | X |
| Out[7]= |
解のデータを抽出する.
| In[8]:= | X |
偏微分方程式を離散化する.
| In[9]:= | X |
| Out[9]= |
剛性行列を可視化する.
| In[10]:= | X |
| Out[10]= | ![]() |



