Mecânica estrutural em 3D
Compute a deformação de uma cambota devido a uma carga exercida pelos pistões.
Especifique um Graphics3D.
| In[1]:= | ![]() X |
Carregue o pacote de elementos finitos e crie uma malha de elementos finitos.
| In[2]:= | X |
| Out[2]= |
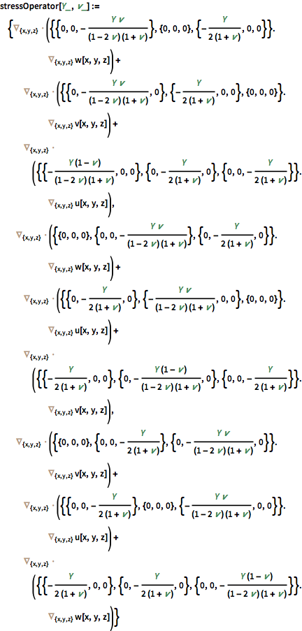
Especifique a formulação de tensão em 3D.
| In[3]:= | ![]() X |
Especifique restrições de modo em que o contorno da cambota seja mantido fixo nestas posições.
| In[4]:= | X |
Especifique uma carga de contorno pressionando os eixos negativos
.
| In[5]:= | X |
Resolva as equações acopladas.
| In[6]:= | ![]() X |
Visualize a cambota original e a cambota deformada em vermelho usando o pacote de elementos finitos
| Out[7]= | ![]() |




