三维结构力学
计算由活塞施加的荷载导致夹紧机轴的变形.
指定 Graphics3D.
| In[1]:= | ![]() X |
| In[2]:= | X |
| Out[2]= |
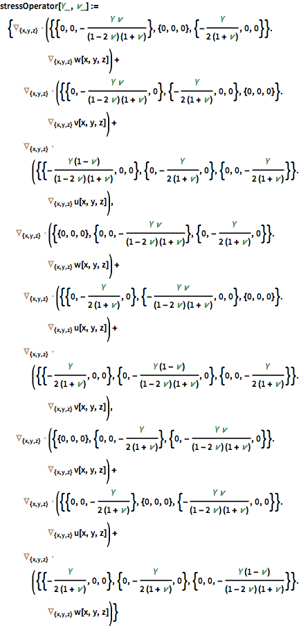
指定三维应力公式.
| In[3]:= | ![]() X |
指定如机轴的边界固定在这些位置的约束.
| In[4]:= | X |
指定推入负
轴的边界负荷.
| In[5]:= | X |
求解耦合方程.
| In[6]:= | ![]() X |
用有限元套件可视化原始机轴和红色的变形后的机轴.
| Out[7]= | ![]() |
计算由活塞施加的荷载导致夹紧机轴的变形.
指定 Graphics3D.
| In[1]:= | ![]() X |
| In[2]:= | X |
| Out[2]= |
指定三维应力公式.
| In[3]:= | ![]() X |
指定如机轴的边界固定在这些位置的约束.
| In[4]:= | X |
指定推入负
轴的边界负荷.
| In[5]:= | X |
求解耦合方程.
| In[6]:= | ![]() X |
用有限元套件可视化原始机轴和红色的变形后的机轴.
| Out[7]= | ![]() |
Questions? Comments? Contact a Wolfram expert »