Kreiskriterium
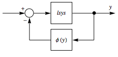
Das Problem von Lur'e untersucht die Stabilität einer wichtigen Klasse von Regelssystemen, deren Vorwärtszweig aus einem linearen zeitinvarianten System und deren Rückkopplung aus gedächtnisloser Nichtlinearität bestehen.
![]() |
Bei Eingrößensystemen kann das Problem von Lur'e graphisch mithilfe des Kreiskriteriums gelöst werden. Es besagt, dass die Anzahl (
) an instabilen Polstellen des geschlossenen Regelkreises, in dem
die Sektorbedingung
erfüllt, durch
gegeben ist, wobei
die Anzahl der instabilen Polstellen des
und
die Anzahl an Ortskurven des
im Gegenuhrzeigersinn rund um die der Rückkopplung im Sektor (
) entsprechenden Kreisscheibe ist.
Ein stabiles System (
).
| In[1]:= | X |
| In[2]:= | X |
| Out[2]= |
Keine enc (
) liegen bei der Rückkopplung im Sektor (
) vor.
| In[3]:= | X |
| Out[3]= | ![]() |
Mehrere Linearitätsabweichungen innerhalb des Rückkopplungssektors.
| In[4]:= | X |
| In[5]:= | X |
| Out[5]= | ![]() |
Simulieren Sie den stabilen (
) geschlossenen Regelkreis.
| In[6]:= | ![]() X |
| In[7]:= | X |
| Out[7]= | ![]() |




