Critério do círculo
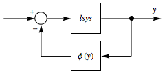
O problema de Lur'e investiga a estabilidade de uma importante classe de sistemas de controle cujo caminho adiante consiste de um sistema linear invariante no tempo e cujo caminho de realimentação consiste em uma não linearidade sem memória.
![]() |
Para sistemas de entrada única e de saída única, o problema de Lur'e pode ser resolvido graficamente usando o critério do círculo. Ele postula que o número (
) de pólos instáveis do sistema em malha fechada em que
satisfaz a restrição do setor
é dado por
, onde
é o número de polos instáveis de
e
é o número de envolvimentos no sentido horário pelo gráfico de Nyquist de
em torno do disco correspondente à realimentação no setor (
).
Um sistema estável (
).
| In[1]:= | X |
| In[2]:= | X |
| Out[2]= |
Para realimentação no setor (
), não há envolvimentos (
).
| In[3]:= | X |
| Out[3]= | ![]() |
Várias não linearidades no setor de realimentação.
| In[4]:= | X |
| In[5]:= | X |
| Out[5]= | ![]() |
Simule o sistema de malha fechada estável (
).
| In[6]:= | ![]() X |
| In[7]:= | X |
| Out[7]= | ![]() |




