圆准则
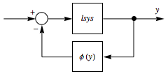
Lur'e 的问题对重要的控制系统类型的稳定性进行研究,其正向路径由线性时不变系统组成,其反馈路径由一个无记忆非线性组成.
![]() |
对于单个输出和输入系统,可以使用圆准则对 Lur'e 的问题进行图解. 当
满足象限条件
时,闭环系统的不稳定极点的数量(
)由
给定,其中
为
的不稳定极点数,且
为象限(
)反馈相应的圆的周围由
的奈奎斯特图顺时环绕的数目.
稳定系统(
).
| In[1]:= | X |
| In[2]:= | X |
| Out[2]= |
对于在象限(
)的反馈,不存在环绕(
).
| In[3]:= | X |
| Out[3]= | ![]() |
反馈象限内的各种非线性.
| In[4]:= | X |
| In[5]:= | X |
| Out[5]= | ![]() |
稳定(
)的闭环系统仿真.
| In[6]:= | ![]() X |
| In[7]:= | X |
| Out[7]= | ![]() |




