Circle Criterion
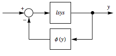
The Lur'e problem investigates the stability of an important class of control systems whose forward path consists of a linear time-invariant system and whose feedback path consists of a memoryless nonlinearity.
![]() |
For single-input, single-output systems, Lur'e's problem can be solved graphically using the circle criterion. It says that the number (
) of unstable poles of the closed-loop system in which
satisfies the sector constraint
is given by
, where
is the number of unstable poles of
and
is the number of clockwise encirclements by the Nyquist plot of
around the disk corresponding to the feedback in the sector (
).
A stable system (
).
| In[1]:= | X |
| In[2]:= | X |
| Out[2]= |
For feedback in the sector (
), there are no encirclements (
).
| In[3]:= | X |
| Out[3]= | ![]() |
Various nonlinearities within the feedback sector.
| In[4]:= | X |
| In[5]:= | X |
| Out[5]= | ![]() |
Simulate the stable (
) closed-loop system.
| In[6]:= | ![]() X |
| In[7]:= | X |
| Out[7]= | ![]() |




