円板型条件
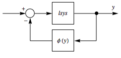
リエ(Lur'e)問題は制御系の重要なクラスの安定性を調べるものである.ここでその前向き経路は線形時不変系からなり,後向き経路は無記憶非線形性からなっている.
![]() |
単入力単出力系では,リエ問題は円板型条件を使って,グラフィカルに解くことができる.
がセクター条件
を満たす閉ループ系の不安定な極の数(
)は
で与えられる.ここで
は
の不安定な極の数,
はセクター(
)のフィードバックに対応する円板を囲む
のナイキスト図による時計回りの包囲の数である.
安定な系(
).
| In[1]:= | X |
| In[2]:= | X |
| Out[2]= |
セクター(
)のフィードバックでは,包囲はない(
).
| In[3]:= | X |
| Out[3]= | ![]() |
フィードバックセクター内のさまざまな非線形性.
| In[4]:= | X |
| In[5]:= | X |
| Out[5]= | ![]() |
安定な(
)閉ループ系のシミュレーションを行う.
| In[6]:= | ![]() X |
| In[7]:= | X |
| Out[7]= | ![]() |




