Regulación de salidas
Regule la altura del líquido en un taque inferior cuya tasa de red de flujo está sujeta a una perturbación exógena. La entrada de control es el flujo en el tanque superior.
![]() |
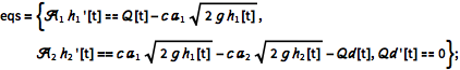
Utilice la ley de Bernoulli y balance de masa para derivar las ecuaciones diferenciales resultantes.
| In[1]:= | ![]() X |
Utilice los valores de funcionamiento de estado estacionario
.
| In[2]:= | ![]() X |
| Out[2]= |
Defina el sistema no lineal correspondiente con entrada
y salida
.
| In[3]:= | X |
| In[4]:= | X |
| Out[4]= | ![]() |
La ley de retroacción.
| In[5]:= | X |
| Out[5]= | ![]() |
El sistema de circuito cerrado.
| In[6]:= | X |
| Out[6]= | ![]() |
Una perturbación polinómica es aproximada como una función constante por tramos.
| In[7]:= | X |
| In[8]:= | X |
| Out[8]= | ![]() |
Monte el modelo de simulación y simule las respuestas del estado.
| In[9]:= | ![]() X |
| In[10]:= | X |
El gráfico muestra que la regulación deseada ha sido alcanzada.
| In[11]:= | X |
| Out[11]= | ![]() |








