输出调节
调节下方水槽中的液体高度,水槽的净流量受外界干扰管制. 控制输入是上方水槽的流入量.
![]() |
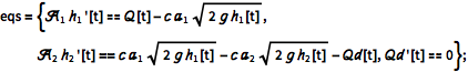
用伯努利定律和质量平衡法导出结果的微分方程.
| In[1]:= | ![]() X |
使用稳定状态工作值
.
| In[2]:= | ![]() X |
| Out[2]= |
定义输入为
且输出为
的相应非线性系统.
| In[3]:= | X |
| In[4]:= | X |
| Out[4]= | ![]() |
反馈定律.
| In[5]:= | X |
| Out[5]= | ![]() |
闭环系统.
| In[6]:= | X |
| Out[6]= | ![]() |
多项式干扰作为分段常值函数的近似.
| In[7]:= | X |
| In[8]:= | X |
| Out[8]= | ![]() |
组合仿真模型,并仿真状态响应.
| In[9]:= | ![]() X |
| In[10]:= | X |
绘图显示完成所需要的调节.
| In[11]:= | X |
| Out[11]= | ![]() |








