出力調節
下のタンクの液体の高さを調節する.そのタンクの全体の流速は外因的な外乱に影響される.制御入力は上のタンクへの流れである.
![]() |
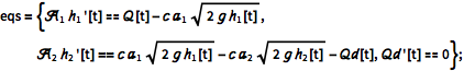
ベルヌーイ(Bernoulli)の法則と質量平均を使って,結果の微分方程式を導き出す.
| In[1]:= | ![]() X |
定常状態の動作値
を使う.
| In[2]:= | ![]() X |
| Out[2]= |
入力
と出力
を持つ対応する非線形系を定義する.
| In[3]:= | X |
| In[4]:= | X |
| Out[4]= | ![]() |
フィードバック法則.
| In[5]:= | X |
| Out[5]= | ![]() |
閉ループ系.
| In[6]:= | X |
| Out[6]= | ![]() |
多項式外乱は区分的な定数関数として近似される.
| In[7]:= | X |
| In[8]:= | X |
| Out[8]= | ![]() |
シミュレーションモデルを組み立て,状態応答をシミュレーションする.
| In[9]:= | ![]() X |
| In[10]:= | X |
プロットは,希望の調節が達成できたことを示す.
| In[11]:= | X |
| Out[11]= | ![]() |








