Regulação de saída
Regule a altura do líquido no tanque inferior cujo caudal é sujeito a uma perturbação exógena. A entrada de controle é o fluxo para o reservatório superior.
![]() |
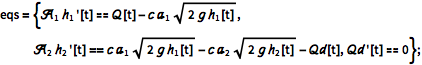
Use a lei de Bernoulli e balanço de massa para derivar as equações diferenciais resultantes.
| In[1]:= | ![]() X |
Use valores de funcionamento em estado estacionário
.
| In[2]:= | ![]() X |
| Out[2]= |
Defina o sistema não linear correspondente à entrada
e à saida
.
| In[3]:= | X |
| In[4]:= | X |
| Out[4]= | ![]() |
A lei de realimentação.
| In[5]:= | X |
| Out[5]= | ![]() |
O sistema em malha fechada.
| In[6]:= | X |
| Out[6]= | ![]() |
A perturbação polinomial é aproximada como uma função constante por partes.
| In[7]:= | X |
| In[8]:= | X |
| Out[8]= | ![]() |
Monte o modelo de simulação e simule as respostas de estado.
| In[9]:= | ![]() X |
| In[10]:= | X |
O gráfico mostra que foi alcançada a regulação desejada.
| In[11]:= | X |
| Out[11]= | ![]() |








