Dehnung berechnen
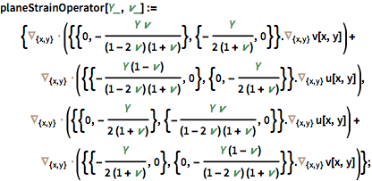
Definieren Sie den Dehnungsoperator.
| In[1]:= | ![]() X |
Lösen Sie die Gleichung über einer rechteckigen Region. Auf der linken Seite ist die Verschiebung beider abhängiger Variablen gleich 0, auf der rechten Seite sind die Variablen mit der Belastung einer Einheit in Richtung der negativen y-Achse verschoben.
| In[2]:= | ![]() X |
Visualisieren Sie die Verformung in Richtung x und y mithilfe des Finite-Elemente-Pakets.
| Out[3]= | ![]() |



