Compute uma deformação plana
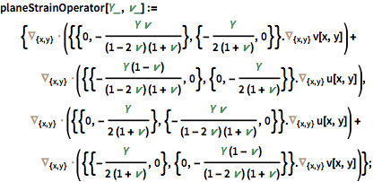
Defina um operador de deformação plana.
| In[1]:= | ![]() X |
Resolva a equação sobre uma região retangular. No lado esquerdo ambas as variáveis dependentes são mantidas fixas com deslocamento zero e no lado direito com uma carga de contorno de uma unidade na direção dos eixos y negativos.
| In[2]:= | ![]() X |
Visualize a deformação nas direções x e y usando o pacote de elementos finitos.
| Out[3]= | ![]() |



