Calcule la deformación de una tensión de plano
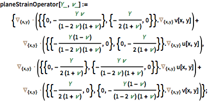
Defina un operador de tensión de plano.
| In[1]:= | ![]() X |
Resuelva la ecuación en una región rectangular. En el lado izquierdo ambas variables dependientes se mantienen fijas con desplazamiento 0 y en el lado derecho con una carga límite de una unidad en la dirección de ejes y negativos.
| In[2]:= | ![]() X |
Visualice la deformación en las direcciones x y y usando el paquete de elemento finito.
| Out[3]= | ![]() |



