模拟 CO 分子上的小振动
从实验上看,一个 CO 分子会以有效弹性系数
在其平衡长度附近振动. 振动由量子简谐振子方程描述. 在下面的例子中,
是分子的折合质量,
为固有频率,
为相对平衡位置的位移,
为约化普朗克常数.
In[1]:=
qho = -(\[HBar]^2/(2 m)) Laplacian[u[x], {x}] + (m \[Omega]^2)/
2 x^2 u[x];计算前四个特征值和归一化特征函数.
In[2]:=
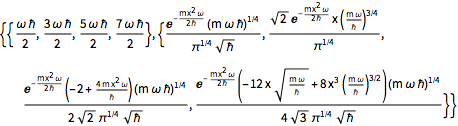
sol = DEigensystem[qho, u[x], {x, -\[Infinity], \[Infinity]}, 4,
Assumptions -> \[HBar] > 0 && m > 0 && \[Omega] > 0,
Method -> "Normalize"]Out[2]=

假定粒子处于四个态的等量叠加,则波函数将有
的形式.
In[3]:=
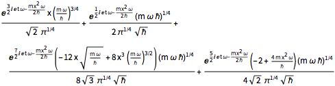
\[Psi][x_, t_] = Total[MapThread[1/2 Exp[I E t #1/\[HBar]] #2 &, sol]]Out[3]=

用原子质量单位、飞秒和皮米等基本单位来计算三个常数
、
和
,这样计算的值将接近 1 的量级.
In[4]:=

m = QuantityMagnitude[(
Entity["Element", "Carbon"][
EntityProperty["Element", "AtomicMass"]] Entity["Element",
"Oxygen"][EntityProperty["Element", "AtomicMass"]])/(
Entity["Element", "Carbon"][
EntityProperty["Element", "AtomicMass"]] +
Entity["Element", "Oxygen"][
EntityProperty["Element", "AtomicMass"]]), "AtomicMassUnits"]Out[4]=
In[5]:=

\[Omega] =
Sqrt[QuantityMagnitude[Quantity[1.86, "Kilonewtons"/"Meters"],
"AtomicMassUnit"/"Femtoseconds"^2]/m]Out[5]=
In[6]:=
\[HBar] =
QuantityMagnitude[Quantity[1., "ReducedPlanckConstant"],
"AtomicMassUnit"*"Picometers"^2/"Femtoseconds"]Out[6]=
位移概率密度函数由
给出.
In[7]:=
\[Rho][x_, t_] =
FullSimplify[ComplexExpand[Conjugate[\[Psi][x, t]] \[Psi][x, t]]]Out[7]=

由于是概率分布,对所有
,ρ 在实数上的积分都为 1.
In[8]:=
Chop[Integrate[\[Rho][x, t], {x, -\[Infinity], \[Infinity]}]]Out[8]=
可视化概率密度随时间变化的情况.
显示完整的 Wolfram 语言输入

