求解美国工业和应用数学学会(SIAM)的挑战问题
积分
的结果取决于参数 α. 找出 α 在 0 到 5 之间的一个值,使得积分值为最大. 该积分可以看作是两个函数的梅林卷积.
In[1]:=
f[x_] := x (2 - x)^\[Alpha] UnitBox[(x - 1)/2]In[2]:=
g[x_] := Sin[x]计算函数 f[x] 和 g[x] 的梅林卷积.
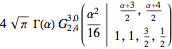
In[3]:=
(mc = MellinConvolve[f[x], g[x], x, \[Alpha]]) // TraditionalFormOut[3]//TraditionalForm=
与 Integrate 所得结果作比较.
In[4]:=
Integrate[(2 - x)^\[Alpha] Sin[\[Alpha]/x], {x, 0, 2},
Assumptions -> \[Alpha] > 0] // TraditionalFormOut[4]//TraditionalForm=
绘制积分值作为 α 的函数的图形.
In[5]:=
Plot[mc // Evaluate, {\[Alpha], 0, 4.99}, PlotStyle -> Red]Out[5]=

用 FindArgMax 在区间 0≤α≤5 上计算使积分值最大的参数值.
In[6]:=
N[FindArgMax[mc, {\[Alpha], 1}, WorkingPrecision -> 100][[1]], 20]Out[6]=