Sondee el problema propio de un operador de onda
FEncuentre los cuatro valores propios y funciones propias de una ecuación de onda generalizada
sobre una región en 1D.
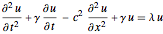
Establezca un operador de onda generalizado
.
In[1]:=
\[Gamma] = 1.3; c = 1.1;
op = D[u[t, x], {t, 2}] + \[Gamma] D[u[t, x], {t, 1}] -
c^2 D[u[t, x], {x, 2}] + \[Gamma] u[t, x];Encuentre los cuatro valores propios y funciones propias más pequeños sobre una región en 1D.
In[2]:=
{vals, funs} = NDEigensystem[op == 0, u[t, x], t, {x, 0, \[Pi]}, 4];Inspeccione valores propios.
In[3]:=
valsOut[3]=
Visualice las partes reales e imaginarias de las funciones propias. Note que las funciones propias vienen en pares conjugados como los valores propios.
In[4]:=

Grid[Partition[
Plot[Evaluate[ReIm[#]], {x, 0, \[Pi]}, PlotRange -> .5,
PlotLegends -> {HoldForm@Re[f], HoldForm@Im[f]}] & /@ funs, 2]]Out[4]=
